随着土壤重金属污染的日益严重,土壤重金属污染问题倍受关注。污染物的生态环境效应是以其生物活性形态为基础的。土壤中活性重金属易于转化和迁移,易被农作物吸收利用,是对环境和人畜健康造成危害的直接原因,是对重金属元素毒性很好的表征。因此,如何降低土壤重金属毒害,如何调控重金属的活性、生物有效性是现今急需研究的重要科学问题。
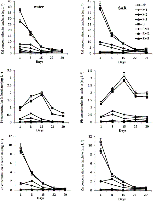
中科院华南植物园土壤生态研究组博士生李风在导师李志安研究员的指导下,通过重金属形态分析、模拟胃肠提取和模拟酸雨淋滤等试验,结果发现: 有机肥猪粪的添加会降低土壤重金属的活性,Cd,Pb活性的降低主要是由于pH浓度的升高,而非形成有机结合态金属,Zn 的钝化主要是由于pH升高和形成了更多的有机结合态锌;猪粪的施加增加土壤养分、增强土壤微生物活性及降低污染土壤重金属毒性和改善作物品质等作用。单独加入蚯蚓有效提高土壤中有效P含量并促进植物生长,但对重金属有效性无影响。模拟酸雨比自来水能淋滤出污染中更多的重金属,这很可能增加地下水污染的隐患。
研究相关成果已于近期发表在国际环境领域主流SCI期刊Environmental Science and Pollution Research上。该研究得到国家自然科学基金面上项目、广东省自然科学基金重点项目,以及国家科技支撑计划项目等的资助。
文献链接:https://link.springer.com/article/10.1007/s11356-018-2080-5

图 模拟酸雨淋滤对土壤重金属含量的影响