大气氮沉降和降雨量增加会影响陆地生态系统的固碳作用,然而这两个同时存在的全球变化因子如何影响树木的重要碳汇过程—树木木质部生长(独立或相互作用)尚不清楚。
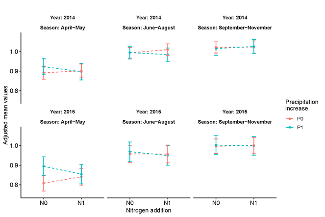
中科院华南植物园生态中心博士后余碧云在黄建国研究员的指导下,在河南鸡公山林冠模拟氮沉降和增雨实验平台开展实验,采用微树芯采样技术于2014-2015年生长季每周监测林冠施氮(CN, 25 kg N ha-1yr-1)、林冠增雨(CW, 增加当地年降雨量的30%)以及同时林冠施氮和增雨(CNW)处理下鸡公山优势物种麻栎(Quercus acutissima Caruth.)的木质部生长,并与对照(C)进行对比。研究发现,在2015年降雨量较少的生长季早期,降雨量增加显著促进麻栎木质部的生长。氮增加对木质部生长量、木质部生长速率、早材导管直径以及早材导管潜在导水率(Ks)均无显著影响,但氮添加处理(CN)下的Ks与木质部年生长量呈显著负相关。2015年生长季早期,在未添加氮时,降雨量增加下的木质部生长量显著高于无降雨量增加时的木质部生长量;而在氮添加时,降雨量增加下的木质部生长量与无降雨量增加时的木质部生长量无显著差异(图1、表1)。结果表明,在干燥的生长季早期,木质部生长量对降雨量增加的响应大于对氮增加的响应;降雨量增加对木质部生长的正效应可以通过氮资源的增加抵消。本研究同时表明,氮添加和降雨量增加对树木生长过程的影响是复杂的,因不同生长时期和当地气候条件而异。
相关研究结果已近期发表在SCI林学Top期刊Tree physiology(《树木生理学》)(IF = 4.196)上。该研究得到国家自然科学基金(青年基金和面上)的资助。论文链接:https://academic.oup.com/treephys/advance-article/doi/10.1093/treephys/tpab152/6431947?guestAccessKey=b042e7b0-4906-47d6-9b62-e9b0c7c52af5

图1. 氮添加和降雨量增加的季节交互效应。
调整平均值为使用R包“lsmean”从混合效应模型中计算得到的最小二乘平均值。
误差棒代表95%置信区间。N0:未添加氮;N1:氮添加;P0:无降雨量增加;P1:降雨量增加。

表1. 氮添加和降雨量增加交互效应的事后分析。
注:N0:未添加氮;N1:氮添加;P0:无降雨量增加;P1:降雨量增加;S1:4–5月; S2:6–8月;S3:9–11月。