外来植物入侵机制是防控和评估入侵的关键依据。入侵植物可以通过改变土壤微生物组成来提高土壤养分的可用水平,并创造良好的土壤环境,从而利于入侵。因此,了解入侵植物如何影响特定微生物功能群及改变土壤养分循环的能力有重要意义。近年来,飞机草已成为西沙群岛危害最大的入侵植物之一,造成较严重的生态环境问题。以土壤氮转化为切入点,开展飞机草在热带珊瑚岛的入侵机制,为其防控提供理论依据有重要意义。
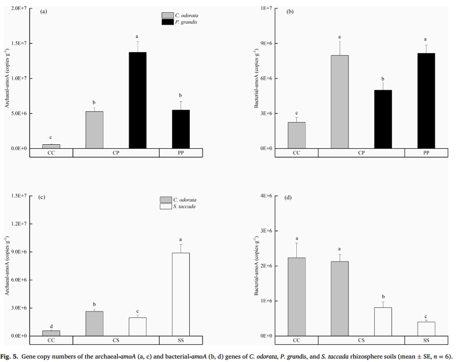
该研究以热带珊瑚岛入侵植物飞机草和本地优势物种草海桐和抗风桐为研究对象,探究氨氧化微生物在入侵植物与本地植物竞争中的作用。研究发现,在面对种间竞争时,飞机草地上部分的生物量分配比例高于两种本土植物。当与本地植物种植时,飞机草根际富集更多的氨氧化细菌,根际土壤的有效氮含量和净矿化率高于本地植物根际土壤。飞机草比本地植物具有更高的N利用效率,有利于竞争光照和土壤营养;同时抑制本地植物的氮转化,从而获取竞争优势。研究结果为基于植物-土壤相互作用成功入侵植物提供了新的视角,有助于了解飞机草对土壤氮的获取和竞争策略,为热带珊瑚岛植物入侵的防控提供了重要依据。
相关研究成果发表在国际学术期刊Science of the Total Environment(《总环境科学》)上,中国科学院华南植物园植被与景观生态学研究组博士研究生袁承志和硕士毕业生高嘉为共同第一作者,简曙光研究员为通讯作者。该研究得到国家重点研发项目和广东省科学技术项目的资助。论文链接:https://doi.org/10.1016/j.scitotenv.2024.175196

图1. 飞机草、草海桐和抗风桐的根际土壤的氮转化速率

图2. 飞机草、草海桐和抗风桐的根际土壤的氨氧化古菌(a、c)和细菌(b、d)的amoA基因拷贝数