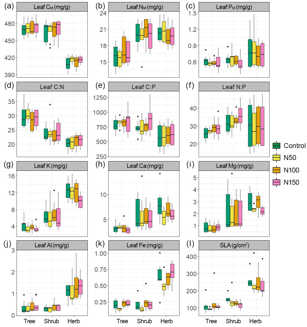
随着全球氮沉降持续加剧,其对氮限制区域生态系统的影响已有广泛研究和报道;然而,长期氮输入如何塑造氮饱和森林中不同生活型植物的生态策略仍不清楚。中国科学院华南植物园鼎湖山站研究团队依托广东鼎湖山长期氮添加实验平台(0、50、100、150 kg N ha⁻¹ yr⁻¹),系统分析了18年氮添加后氮饱和季风常绿阔叶中乔木、灌木、草本共8种植物的15项叶片和22项细根功能性状响应。研究发现,长期氮添加对乔木、灌木和草本叶片(图1)和细根功能性状(图2)均无显著影响。叶片经济谱比根经济谱更能有效区分植物生活型;然而,长期氮添加没有改变植物的养分获取策略(图3)。长期氮添加下植物叶片和细根性状的表型可塑性均保持稳定,然而高氮添加导致草本叶片性状的整合性上升和细根性状的整合性下降。
该研究揭示了长期氮添加下氮饱和森林中植物功能性状可能趋于稳定,为基于植物功能性状的模型预测长期氮沉降对生态系统功能的影响提供了重要的数据支撑,同时也完善了氮限制生态系统中“性状-环境”耦合关联的传统认知。相关研究以“Plant morphological and physiological traits are stable in a nitrogen-saturated tropical forest after 18-year nitrogen additions”为题于近期发表在国际学术期刊Plant and Soil(《植物和土壤》)。中国科学院华南植物园博士后余光灿为论文第一作者,郑棉海研究员为通讯作者。该研究获广东省杰出青年基金等项目资助。论文链接:https://doi.org/10.1007/s11104-025-07484-6

图1.长期氮添加对乔木、灌木和草本植物叶片功能性状的影响

图2.长期氮添加对乔木、灌木和草本植物细根功能性状的影响

图3.氮添加处理下15个叶片(a)和22个细根性状(c)的主成分分析。(b)和(d)分别是叶片和细根功能性状的贡献值