华南植物园鲁显楷研究员团队在《全球变化生物学》发表最新研究,通过长达20年的野外氮添加实验,首次揭示长期高氮沉降下热带原始林土壤微生物代谢限制的垂直分异规律,即长期氮沉降会加剧表层土壤的磷限制,但缓解其碳限制;而深层土壤则呈现相反的响应模式。
土壤微生物在生物地球化学循环和生态系统稳定中发挥着重要作用。近半个世纪以来,大气氮沉降升高显著加速了陆地氮循环过程,并改变了底物元素化学计量比,从而导致土壤微生物代谢限制发生变化。传统观点认为,热带森林相对 “富氮贫磷”的特性使其对氮沉降异常敏感,氮沉降会进一步加剧磷素限制。然而,目前尚不清楚在高度风化的热带森林中,长期氮素输入如何影响不同深度的土壤微生物代谢限制。
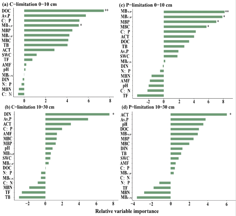
研究团队于2002年在广东鼎湖山国家级自然保护区原始林(季风常绿阔叶林)建立了长期连续氮添加实验样地(4种梯度:0-150 kg N ha⁻¹ year⁻¹),探讨了长达20年的高氮素输入如何影响不同土壤剖面中土壤微生物代谢限制特征。研究发现,与传统观点不同,长期氮添加对磷限制的影响具有深度选择性:表层土壤的磷限制增强,而深层土壤则未受影响。土壤微生物可通过下调微生物群落丰度来适应磷限制,其中放线菌的相对丰度可指示磷限制状态。与此同时,长期氮添加通过增加表层土壤溶解性有机碳(DOC)含量缓解了微生物的碳限制,但加剧了深层土壤微生物碳限制。
该研究首次证实长期氮沉降对热带森林土壤微生物代谢限制的影响具有深度选择性,并且修正了"氮沉降普遍加剧磷限制"的单一结论。考虑到微生物碳-磷代谢的"深度分异"现象,研究特别提出未来地球系统模型需纳入深度依赖的微生物代谢限制参数,特别是在预测热带森林碳汇功能时。这一成果为预测全球氮沉降加剧背景下热带亚热带森林生态系统功能变化提供了关键科学依据。
相关研究成果以“Divergent microbial metabolic limitations across soil depths after two decades of high nitrogen inputs in a primary tropical forest”为题发表在全球变化研究领域权威期刊Global Change Biology(《全球变化生物学》)上。中国科学院华南植物园硕士研究生庞朝龙为论文第一作者,硕士生张泽和为共同第一作者,鲁显楷研究员为通讯作者。该研究得到广东省重点领域研发计划、国家自然科学基金和广东省科技计划等项目资助。文章链接:https://doi.org/10.1111/gcb.70440

图1. 长期氮添加对不同土层微生物代谢碳限制(a, Vector length)和磷限制(b, Vector angle)特征的影响

图2. 不同土层环境因子对微生物代谢碳限制和磷限制影响的相对重要性

图3. 氮添加对表层和深层土壤微生物代谢限制的主要影响途径